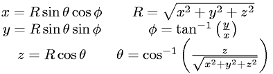
Cartesian to Spherical Coordinates (3-D) |
 |
LaTeX Code:
\begin{array}{*{20}c}
{x = R\sin \theta \cos \phi } & {R = \sqrt {x^2 + y^2 + z^2 } } & {} \\
{y = R\sin \theta \sin \phi } & {\phi = \tan ^{ - 1} \left( {\frac{y}{x}} \right)} & {} \\
{z = R\cos \theta } & {\theta = \cos ^{ - 1} \left( {\frac{z}{{\sqrt {x^2 + y^2 + z^2 } }}} \right)} & {} \\
\end{array}
|
| MathType 5.0 Code: % MathType!MTEF!2!1!+-
% feaafaart1ev1aaatCvAUfeBSjuyZL2yd9gzLbvyNv2CaerbuLwBLn
% hiov2DGi1BTfMBaeXatLxBI9gBaerbd9wDYLwzYbItLDharqqr1ngB
% PrgifHhDYfgasaacH8YjY-vipgYlh9vqqj-hEeeu0xXdbba9frFj0-
% OqFfea0dXdd9vqai-hGuQ8kuc9pgc9q8qqaq-dir-f0-yqaiVgFr0x
% fr-xfr-xb9adbaqaaeGaciGaaiaabeqaamaabaabaaGcbaqbaeqabm
% WaaaqaaiaadIhacqGH9aqpcaWGsbGaci4CaiaacMgacaGGUbGaeqiU
% deNaci4yaiaac+gacaGGZbGaeqOXdygabaGaamOuaiabg2da9maaka
% aabaGaamiEamaaCaaaleqabaGaaGOmaaaakiabgUcaRiaadMhadaah
% aaWcbeqaaiaaikdaaaGccqGHRaWkcaWG6bWaaWbaaSqabeaacaaIYa
% aaaaqabaaakeaaaeaacaWG5bGaeyypa0JaamOuaiGacohacaGGPbGa
% aiOBaiabeI7aXjGacohacaGGPbGaaiOBaiabeA8aMbqaaiabeA8aMj
% abg2da9iGacshacaGGHbGaaiOBamaaCaaaleqabaGaeyOeI0IaaGym
% aaaakmaabmaabaWaaSaaaeaacaWG5baabaGaamiEaaaaaiaawIcaca
% GLPaaaaeaaaeaacaWG6bGaeyypa0JaamOuaiGacogacaGGVbGaai4C
% aiabeI7aXbqaaiabeI7aXjabg2da9iGacogacaGGVbGaai4CamaaCa
% aaleqabaGaeyOeI0IaaGymaaaakmaabmaabaWaaSaaaeaacaWG6baa
% baWaaOaaaeaacaWG4bWaaWbaaSqabeaacaaIYaaaaOGaey4kaSIaam
% yEamaaCaaaleqabaGaaGOmaaaakiabgUcaRiaadQhadaahaaWcbeqa
% aiaaikdaaaaabeaaaaaakiaawIcacaGLPaaaaeaaaaaaaa!7D33!
|
|
Pasting the above "text" into MathType 5.0 will enter the above equation and make it possible to edit, save, and use in applications such as MS Word.
|