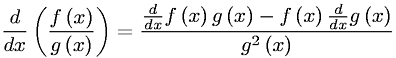
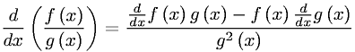
Quotient Rule of Differentiation |
 |
LaTeX Code:
\frac{d}{{dx}}\left( {\frac{{f\left( x \right)}}{{g\left( x \right)}}} \right) = \frac{{\frac{d}{{dx}}f\left( x \right)g\left( x \right) - f\left( x \right)\frac{d}{{dx}}g\left( x \right)}}{{g^2 \left( x \right)}}
|
| MathType 5.0 Code: % MathType!MTEF!2!1!+-
% feaafaart1ev1aaatCvAUfeBSjuyZL2yd9gzLbvyNv2CaerbuLwBLn
% hiov2DGi1BTfMBaeXatLxBI9gBaerbd9wDYLwzYbItLDharqqr1ngB
% PrgifHhDYfgasaacH8YjY-vipgYlh9vqqj-hEeeu0xXdbba9frFj0-
% OqFfea0dXdd9vqai-hGuQ8kuc9pgc9q8qqaq-dir-f0-yqaiVgFr0x
% fr-xfr-xb9adbaqaaeGaciGaaiaabeqaamaabaabaaGcbaWaaSaaae
% aacaWGKbaabaGaamizaiaadIhaaaWaaeWaaeaadaWcaaqaaiaadAga
% daqadaqaaiaadIhaaiaawIcacaGLPaaaaeaacaWGNbWaaeWaaeaaca
% WG4baacaGLOaGaayzkaaaaaaGaayjkaiaawMcaaiabg2da9maalaaa
% baWaaSaaaeaacaWGKbaabaGaamizaiaadIhaaaGaamOzamaabmaaba
% GaamiEaaGaayjkaiaawMcaaiaadEgadaqadaqaaiaadIhaaiaawIca
% caGLPaaacqGHsislcaWGMbWaaeWaaeaacaWG4baacaGLOaGaayzkaa
% WaaSaaaeaacaWGKbaabaGaamizaiaadIhaaaGaam4zamaabmaabaGa
% amiEaaGaayjkaiaawMcaaaqaaiaadEgadaahaaWcbeqaaiaaikdaaa
% GcdaqadaqaaiaadIhaaiaawIcacaGLPaaaaaaaaa!5CDC!
|
|
Pasting the above "text" into MathType 5.0 will enter the above equation and make it possible to edit, save, and use in applications such as MS Word.
|