Z-transform involving the unit step function and hyperbolic cosine |
 |
LaTeX Code:
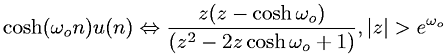
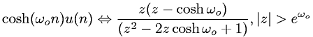
\cosh (\omega _o n)u(n) \Leftrightarrow \frac{{z(z - \cosh \omega _o )}}{{\left( {z^2 - 2z\cosh \omega _o + 1} \right)}},\left| z \right| > e^{\omega _o }
|
| MathType 5.0 Code: % MathType!MTEF!2!1!+-
% feaafaart1ev1aaatCvAUfeBSjuyZL2yd9gzLbvyNv2CaerbuLwBLn
% hiov2DGi1BTfMBaeXatLxBI9gBaerbd9wDYLwzYbItLDharqqtubsr
% 4rNCHbGeaGqiVCI8FfYJH8YrFfeuY-Hhbbf9v8qqaqFr0xc9pk0xbb
% a9q8WqFfeaY-biLkVcLq-JHqpepeea0-as0Fb9pgeaYRXxe9vr0-vr
% 0-vqpWqaaeaabiGaciaacaqabeaadaqaaqaaaOqaaiGacogacaGGVb
% Gaai4CaiaacIgacaGGOaGaeqyYdC3aaSbaaSqaaiaad+gaaeqaaOGa
% amOBaiaacMcacaWG1bGaaiikaiaad6gacaGGPaGaeyi1HS9aaSaaae
% aacaWG6bGaaiikaiaadQhacqGHsislciGGJbGaai4BaiaacohacaGG
% ObGaeqyYdC3aaSbaaSqaaiaad+gaaeqaaOGaaiykaaqaamaabmaaba
% GaamOEamaaCaaaleqabaGaaGOmaaaakiabgkHiTiaaikdacaWG6bGa
% ci4yaiaac+gacaGGZbGaaiiAaiabeM8a3naaBaaaleaacaWGVbaabe
% aakiabgUcaRiaaigdaaiaawIcacaGLPaaaaaGaaiilamaaemaabaGa
% amOEaaGaay5bSlaawIa7aiabg6da+iaadwgadaahaaWcbeqaaiabeM
% 8a3naaBaaameaacaWGVbaabeaaaaaaaa!67E2!
|
|
Pasting the above "text" into MathType 5.0 will enter the above equation and make it possible to edit, save, and use in applications such as MS Word.
|